sábado, 12 de febrero de 2022

Construccion de la Integral Triple

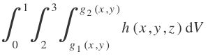
La construccion de la Integral triple es como  la doble, tenemos que basarnos en una construccion geometrica, y hay que hacerlo con cuidado, porque ahora los limites dependen de dos funciones, en la forma:

Como se ve, la integral interior, depende de dos funciones, la intermedias de una y la exterior debe de ser numerica, en este caso en particular tome los limites como dzdydx, por claridad, pero pueden tomarse en el orden que consideremos mas eficiente, dxdydz, dydzdx, etc.

EJEMPLO 1

CUBO

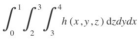
Integremos sobre el cubo unitario de la figura, en el que:



PASO 1

Limites x,y

Proyectar sobre el eje xy

Esto nos produce un cuadrado:


Como se ve, es evidente que:

x∈[0,1]

y∈[1,2]

Por lo que ya tenemos los limites de integración para las integrales externa e intermedia


PASO 2
Limites para z

Al ser un cubo, podemos ver en la figura, que para todo punto (x,y), los valores de z van del 3 al 4, esto es:

z∈[3,4]

Por lo que nuestra integral quedaria:


EJEMPLO 2

Entre dos funciones

Ahora supongamos que deseamos calcular el volumen entre las funciones:

Notese que una cosa muy diferente son las Regiones en donde calcularemos la integral, y otra la funcion a integrar, que para evitar confusiones, la he llamado h(x,y,z) y no la especificare, porque no es importante para la construccion geometrica.

Esto nos define dos paraboloides, cuya interseccion se ve en la figura, una circunferencia:

PASO 1

Escoger el orden de Integracion

En este caso elijo dzdxdy, porque dado una (x,y), es facil darse cuenta donde comienza y donde acaba la z asociada a ella, empieza en el paraboloide inferior y termina en el superior (notese que solo es necesario escribir las ecuaciones en el respectivo lugar de la integral)

Asi mi integral triple quedaria:

Paso 2

Proyeccion sobre el eje xy

Lo que nos interesa es la proyeccion en el plano xy

La figura morada, es la sombra de la interseccion

El calculo de la interseccion es:

PASO 3

Limites para x,y

Para todo valor de x, se ve que el valor va de la parte inferior de la circunferencia a la superior, como no podemos escribir la ecuacion de la circunferencia en la integral (son dos variables)=, despejamos y en funcion de x, y escribimos esto en los liumites, notese que cada semicirculo tendria asi, su propia  ecuacion, que solo depende de x:



Asi que

De la inspeciión de la figura, se ve que x va de menos raiz de dos a raiz de dos, esto es delos extremos radio de la circunferencia

Lo que significa que la integral dzdydx.quedarian.



La cual se ve dificil de hacer, pero como tiene tantas raices y binomios cuadrados, es evidente, que es mas facil hacerla con cilindricas.


Para este ejemplo me he basado en la clase 25 del Curso de Calculo Multivariacional del MIT:


NOTAS:

Esta es una de las posibles iteraciones, la proyeccion podria hacerse con los ejes xz o yz, se elige la que nos de los limites mas claros o bien, que pueda darnos una funcion de integracion mas manejable.

Es muy importante notar el orden de los limites de integracio:

  • Para la integral interior, la funcion es maximo de 2 variables
  • Para la intermedia, la funcion es maximo de una variable
  • Para la exterior, solo puede haber valores numericos
  • Si la variable de la interior es z, los limites deben estar en funcion de x e y
  • Si la variable intermedia es y, entonces los limites deben de estar en funcion de x
  • Y correspondientemente, en cada variable, le corresponde cierto orden de limites y diferenciales.



miércoles, 9 de febrero de 2022

Como construir una integral doble

Para la solucion de una integral doble, se deben de seguir una serie de pasos, si se siguen correctamente, la solucion sera mas sencilla de resolver y su solucion correcta. El como se construye la Integral doble es fundamental, para ello hay que ver que nos dice la Gometria, la cual establece los limites para integrar, el tipo de sistema de coordenadas a usar y fundamentalmente, el orden de iteracion.

EJEMPLO 1

RECTANGULOS

Una integral doble se construye de tal forma que los limites que dependen de funciones se resuelvan en la primera integral (interna), mientras que los numericos se resuelvan en la segunda (externa), siempre debemos tener como resultado un numero.

Notese que uso dA en la integral, porque dependiendo de la geometria, decidire si se usa dydx o dxdy (en el caso de polares, casi siempre se usa rdrdΘ  porque tenemos funciones que dependen del angulo).

Supongamos que integraremos una funcion f(x,y), cuya proyeccion sobre el plano xy es un cuadrado, con:

x∈[0,1]

y∈[1,2]

El primer paso, siempre sera dibujar esta proyeccion, porque en base a ella definiremos los limites de integracion y en base a ellos, el orden de integracion.


La region esta marcada con naranja

En este caso, como ambos son numericos, no importa el orden y podemos integrar de cualquiera de estas formas:


EJEMPLO 2

REGION 1

Ahora veamos otro ejemplo, pero hagamoslo mas interesante, con:

x∈[0,1]

y∈[0,1-y]

Primero hagamos la grafica, que esta contenida entre y=0, y=1-x, x=1 y x=2 (notese que deben de ser dados los limites en el problema)


A este tipo de grafica, la llamamos Region 1 e implica que el orden de iteracion sera dydx, vemos que la grafica esta contenida entre las paralelas x=0 y x=1, pero lo interesante es que para toda x fija, los valores de y van desde 0 a la grafica y=1-x, 

Esto se debe a que los limites de integracion de la integral interior, deben de ser funciones de la exterior, en este caso, como la interior es dy, sus limites deben de estar en funcion de x.

En este caso, ya no es indistinto el orden, tenemos ahora una funcion, en y, esto implica que nuestras integrales van a tener que ser:


Notese que no podemos tenerlas en otro orden, porque de esa forma no podriamos tener un resultado numerico.

EJEMPLO 3

REGION 2

Veamos ahora otro tipo de Region, la 2, que implica  una integracion en el orden dydx, ahora tenemos que:

x∈[f(y0),f(y1)]

y∈[1,2]

En este caso, la funcion depende de y, algo que no solemos hacer en dimensiones inferiores, pero que se vuelve algo normal en dimensiones superiores supongamos que:

f(y0)=0 y f(y1)=x+1

Como siempre, empezamos con la grafica:

Despejemos y=x+1   x=y-1

Esto es para cualquier y en el intervalo, x va de 0 a la recta y=x+1

Asi que nuestros limites de integracion serian:

x∈[0,y-1]

y∈[1,2]

Y nuestra integral quedaria:


EJEMPLO 4

ACOTADA POR FUNCIONES

Y finalicemos con un ultimo ejemplo, mas complicado:

x∈[f(y0),f(y1)]

y∈[f(x0),f(x1)]

Como siempre, comenzamos con la grafica:

Como se ve, la figura necesariamente comienza en un valor dado de x o y y termina en otro valor  de x o y, lo que nos conviene, es ver donde intersectan ambas graficas y tomar esos valores para los limites de la integral externa, mientras que para la interna, tomar la funcion que sea mas facil de integrar, esto es:

Los puntos de interseccion son:

P1=(-2.79,3.79)

P2=(1.79,-0.79)

Para la exterior podemos tomar:

x∈[a,b] = [-2.79,1.79]

o

y∈[c,d] = [3.79,-0.79]

Y para la interior

Recuerda, siempre van las funciones en la interior

Tomemos dx para la exterior, nuestra integral quedaria:

Tomemos dy para la exterior, nuestra integral seria:

Ya es cuestion de practica cual escoger, la que veamos mas facil de solucionar, o la que tenga limites mas simples.

No incluyo ejemplos numericos, ya que esos abundan, lo malo es que la mayoria estan mal explicados, pero con lo visto aqui, resultaran obvios.

Nota importante:

Para la Integracion Numerica, hay que tomar varias consideraciones:

  • Limites con raices cuadradas o binomios al cuadrado usar Coordenadas polares
  • Si f(x,y) es un cilindro, usar cilindricas
  • Si f(x,y) es una esfera, usar polares
  • Si las proyecciones sobre el eje xy son circunferencias o pedazos de ellas, usar polares.